Энергаз 2026
Аналитика - Генерация энергии

Токопроводы генераторного напряжения U=20кВ


29.06.07 12:19
Токопроводы используются при строительстве и расширении электрических станций всех типов (тепловых, гидроэлектростанций, атомных станций), для электрических соединений турбогенераторов с силовыми повышающими трансформаторами, трансформаторами собственных нужд, преобразовательными трансформаторами и трансформаторами теристорного возбуждения генераторов

ОБЗОР РЫНКА


Токопроводы генераторного напряжения U=20кВ

Текущая ситуация на рынке и тенденции ее развития.


Токопроводы используются при строительстве и расширении электрических станций всех типов (тепловых, гидроэлектростанций, атомных станций), для электрических соединений турбогенераторов с силовыми повышающими трансформаторами, трансформаторами собственных нужд, преобразовательными трансформаторами и трансформаторами теристорного возбуждения генераторов.

Проблема энергодефицита сегодня актуальна почти для всех регионов России, кроме Юга страны. Проблема усугубляется не только нехваткой генерирующих мощностей, но и выводом из строя действующих в связи с истечением срока эксплуатации. Стремительно сокращается объем резервных мощностей – при хорошем балансе их должно быть не менее 30%, то в настоящий момент в ряде энергосистем этот показатель не превышает 15%. В предшествующие 5 лет энергетика росла по объему выработки электроэнергии с существующими мощностями. Ввод новых мощностей был незначительным (за последние 15 лет ввод новых мощностей составил 23 000 МВт). В силу технологических особенностей энергетики дальше так расти невозможно. Для дальнейшего развития российской экономики требуется активное строительство генерирующих объектов.


Нужно обеспечить новые вводы мощностей, причем в уникальном масштабе: РАО ЕЭС России утверждена программа вводов генерирующих мощностей размером 41 900 МВт (ближайшие 4-5 лет.).

Нужно обеспечить новые вводы мощностей, причем в уникальном масштабе

Ввод в строй или расширение 20-30 станций ежегодно, приведет, соответственно, к увеличению потребности в токопроводах и прочей электротехнической продукции в разы

Ввод в строй или расширение 20-30 станций ежегодно, приведет, соответственно, к увеличению потребности в токопроводах и прочей электротехнической продукции в разы

Ввод в строй или расширение 20-30 станций ежегодно, приведет, соответственно, к увеличению потребности в токопроводах и прочей электротехнической продукции в разы.

Сегментация, область применения и емкость рынка.

Основной потребитель токопроводов 20кВ, 10кА энергетический сектор: Росэнергоатом, ОГК, ТГК, ГидроОГК

В качестве основной области применения рассматриваются объекты генерации с проектной мощностью от 150 до 300 МВт.

Расчетная емкость рынка токопроводов генераторного напряжения 20 кВ.

Расчетная емкость рынка токопроводов генераторного напряжения 20 кВ


Конкурентное окружение

Сегодня в России основные производители токопроводов:

  • Московский завод «Электрощит» (Москва);
  • Невский завод «Электрощит» (С-Петербург);
  • «Электропульт» (С-Петербург).

Анонсировал производство токопроводов Самарский завод «Электрощит». В странах СНГ аналогичные токопроводы выпускает «Запорожтрансформатор» (Украина), но поставки в Россию в последние годы носят единичный характер. Зарубежные производители на российском рынке практически не представлены.

table4



М
нения экспертов:
Одни считают, что появление нового сильного игрока на рынке является своевременным, учитывая прогнозируемую динамику емкости рынка.
Другие, сомневаются в целесообразности столь масштабного проекта, считая, что токопроводы это весьма специфичная продукция и есть сомнения, реализуются ли на 100% токопроводы производимые в настоящее время.

! Мнения экспертов сходятся в том, что появление нового игрока на рынке, имеющего объем производства сопоставимый с совокупным объемом основных производителей несомненно приведет к снижению цен на токопроводы и перераспределению долей рынка.

Основные производители:

  1. Московский завод «Электрощит» (Москва)

Выпускает продукцию более 50 лет, постоянно работает над усовершенствованием старых и производством новых конструкций. Очень большой номенклатурный ряд токопроводов на напряжение 20кВ и номинальный ток от 1 600 до 12 500А. Достаточно развита сеть компаний, представляющих продукцию и интересы завода на всей территории России.

Пофазно-экранированные токопроводы генераторного напряжения 20 кВ на токи от 1 600 до 12 500 А серии ТЭНЕ

Конструкция токопроводов серий ТЭНЕ и ТЭНП напряжением 20, 24 и 35 кВ

tok01

table5

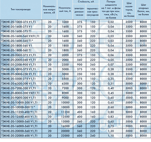
  1. Нвский завод «Электрощит» (С-Петербург)

Проектирование, поставка и шеф-монтаж токопроводов – основная специализация данного завода. Очень большой номенклатурный ряд токопроводов на напряжение 20кВ и номинальный ток от 1 000 до 22 000А.

tok02

Конструкция токопроводов генераторного напряжения серии ТЭКН

table6

  1. Электропульт» (С-Петербург)

    Производство генераторных токопроводов на напряжение 20кВ и номинальный ток от 1 600 до 20 000А.

tok03



table7

  1. Самарский «Электрощит» (Самара)

В 2007 г. Самарский «Электрощит» планирует восстановить производство токопроводов для генераторов мощностью от 50 до 1 000 000А и токопроводов собственных нужд, стоимость проекта оценивают в $7 млн. Ежегодный выпуск планируется – 17-19000 п.м. токопроводов. На март 2007 г. проведена большая организационно-подготовительная работа: в проектных институтах проходят согласование обновленные технические условия, проводятся сертификационные испытания опытных образцов, подготовлена и оснащена оборудованием отведенная производственная площадка, сформирован и приступил к работе штат производственного и технического персонала. Сформирован ориентировочный портфель заказов. Цель проекта – комплексность поставок при реконструкции и строительстве объектов энергетики.

Зарубежные производители токопроводов (Европа).


Продукция данных предприятий на российском рынке не представлена (данные отсутствуют).


1. EGE, spol. S.r.o. (Ltd.) (Чехия) Подразделение «Закрытые токопроводы и изделия из алюминия». Подразделение обеспечивает комплексный объем деятельности в сфере закрытых токопроводов, по большей части используемых для выводов генераторов на всех типах электростанций. Производство всех используемых типов закрытых проводников с воздушной изоляцией. Главным образом это однофазные изолированные закрытые проводники (IPB), наряду с ними несегрегационные (NSB) и сегрегационные проводники (SB). Конструкция проводников находится в соответствии с требованиями стандартов IEC и AN-SI.

Конструкция токопроводов.

tok04

Основные параметры

table8


1. Alfa standard S.p.a (Италия). Производство токопроводов с воздушной изоляцией на напряжение, в том числе, 17,5 и 24 кВ и номинальные токи от 3000 до 25000А.

tok05

Основные характеристики.

table9

1. ALSTOM Power – Electrical & Control Systems (Франция).

tok06


Тенденции развития продукта.

Основные направления развития продукта:

- Повышение безопасности и снижение стоимости эксплуатации;
- Совершенствование изоляции шин;
- Минимизация габаритов;

Совершенствование изоляции шин:
Одно из направлений - Токопроводы с литой изоляцией.
В настоящее время в России не производятся. Продвижением на российском рынке литых токопроводов бельгийского производства в настоящее время занимается «РТК-Электро» С-Петербург.
Стандартные типы изделий рассчитаны на номинальное значение тока до 8000 А и номинальное напряжение до 35 кВ.

tok07

table10

 Распространение на российском рынке литых токопроводов пока не велико, в силу «консерватизма» отрасли, отсутствия опыта эксплуатации и более высокой цены (хотя, учитывая эксплуатационные характеристики литые токопроводы экономически целесообразнее). За рубежом литые токопроводы используются более 35 лет.

        Общие преимущества токопроводов с литой изоляцией:

  • Безопасен при прикосновении
  • Все комплектующие тестируются на заводе – очень высокая надежность
  • Отсутствие необходимости изоляционных работ на месте монтажа
  • Полное проектирование осуществляет завод-изготовитель

Преимущества токопроводов с литой изоляцией перед закрытыми токопроводами с воздушной изоляцией:

  • Нет необходимости в дополнительном охлаждении;
  • Простой монтаж;
  • Большая экономия пространства;
  • Отсутствие расходов на эксплуатацию;
  • Отсутствие короткого замыкания;
  • Возможность касания шин друг другом (фазы изолированы)
  • Тестирование изоляционного материала на заводе-изготовителе
  • Легкость подключения к оборудованию.

Ценовая политика на рынке.

В связи со спецификой продукта, «прайсовые» цены на токопроводы отсутствуют, по данным производителей среднегодовая цена продукции на токопроводы составляет порядка 38 000 – 44 000 руб.

Выводы:

1.   Емкость рынка токопроводов в ближайшие годы должна существенно увеличиться, в связи с планируемым масштабным вводом генерирующих мощностей.
2. В ближайшее время анонсируется выход на рынок нового крупного игрока, учитывая олигополистический характер данного рынка, это вероятнее всего приведет к снижению цен на токопроводы и перераспределению долей рынка.
3. Все игроки на рынке предлагают широкий номенклатурный ряд токопроводов на номинальные токи от 1 000 до 20 000А.
4. Продукция зарубежных производителей на российском рынке практически не представлена (предположение: сложная система сертификации). 


Исп. Маркетолог Медведева Е.А.
30.05.2007г.







О проекте Размещение рекламы на портале Баннеры и логотипы "Energyland.info"
Яндекс цитирования         Яндекс.Метрика